Abstract
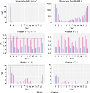
To enable the participation of stochastic distributed energy resources in ancillary service markets, the Danish transmission system operator, Energinet, mandates that flexibility providers satisfy a minimum 90% reliability requirement for reserve bids. This paper examines the bidding strategy of an electric vehicle aggregator under this regulation and develops a chance-constrained optimization model. In contrast to conventional sample-based approaches that demand large datasets to capture uncertainty, we propose an analytical reformulation that leverages extreme value theory to characterize the tail behavior of flexibility distributions. A case study with real-world charging data from 1400 residential electric vehicles in Denmark demonstrates that the analytical solution improves out-of-sample reliability, reducing bid violation rates by up to 8% relative to a sample-based benchmark. The method is also computationally more efficient, solving optimization problems up to 4.8 times faster while requiring substantially fewer samples to ensure compliance. Moreover, the proposed approach enables the construction of feasible bids with reliability levels as high as 99.95%, which would otherwise require prohibitively large scenario sets under the sample-based method. Beyond its computational and reliability advantages, the framework also provides actionable insights into how reliability thresholds influence aggregator bidding behavior and market participation. This study establishes a regulation-compliant, tractable, and risk-aware bidding methodology for stochastic flexibility aggregators, enhancing both market efficiency and power system security.









Similar content being viewed by others
Data availability
Data used in the manuscript is classified household EV charging data provided by Spirii, and may not be distributed.
References
Blanchet J, Jorritsma J, Zwart B (2024) Optimization under rare events: scaling laws for linear chance-constrained programs. http://arxiv.org/abs/2407.11825
Blanchet J, Zhang F, Zwart B (2024) Efficient scenario generation for heavy-tailed chance constrained optimization. Stoch Syst 14(1):22–46
Calafiore GC, Campi MC (2006) The scenario approach to robust control design. IEEE Trans Autom Control 51(5):742–753
Cam LL (1990) Maximum likelihood: an introduction. Int Stat Rev 58:153–171
Castillo E (1988) Extreme value theory in engineering. Academic Press, Statistical Modeling and Decision Science
Cohen AC (1965) Maximum likelihood estimation in the weibull distribution based on complete and on censored samples. Technometrics 7(4):579–588
Devore JL, Berk KN (2012) Modern mathematical statistics with applications. Springer, New York
Diebold FX, Schuermann T, Stroughair JD (2000) Pitfalls and opportunities in the use of extreme value theory in risk management. J Risk Finance 1(2):30–35
Dodge Y (2008) Kolmogorov-Smirnov Test. The Concise Encyclopedia of Statistics. Springer, New York, pp 283–287
Energinet (2024a) Ancillary services to be delivered in Denmark – Tender conditions. https://en.energinet.dk/Electricity/Ancillary-Services/Tender-conditions-for-ancillary-services/
Energinet (2024b) Prequalification of units and aggregated portfolios. https://en.energinet.dk/electricity/ancillary-services/prequalification-and-test/
Gade PAV, Bindner HW, Kazempour J (2024) Leveraging P90 requirement: Flexible resources bidding in Nordic ancillary service markets. In IEEE SmartGridComm 2024, Oslo, Norway
Haynes W (2013) Bonferroni Correction. Springer New York, New York, NY pp 154–154
Herstad TR (2025) Github repository. https://github.com/torine-dtu/EV-bidding-EVT-2024
Hüsler J, Cruz P, Hall A, Fonseca CM (2003) On optimization and extreme value theory. Methodol Comput Appl Probab 5(2):183–195
Lauinger D, Vuille F, Kuhn D (2024) Reliable frequency regulation through vehicle-to-grid: encoding legislation with robust constraints. Manuf Serv Oper Manag 26(2):722–738
Luedtke J, Ahmed S (2008) A sample approximation approach for optimization with probabilistic constraints. SIAM J Optim 19(2):674–699
Lunde GA, Damm EV, Gade PAV, Kazempour J (2025) Aggregator of electric vehicles bidding in Nordic FCR-D markets: a chance-constrained program. IEEE Trans Power Syst (forthcoming)
Nemirovski A, Stewart HM (2012) On safe tractable approximations of chance constraints. Eur J Oper Res 219(11):707–718
Prékopa A (1970) On probabilistic constrained programming. In Proc Princeton Sympos Math Program Princeton, NJ pp 113–138
Tong S, Subramanyam A, Rao V (2022) Optimization under rare chance constraints. SIAM J Optim 32(2):930–958
Acknowledgements
The authors would like to thank Spirii for providing the data, as well as Gustav A. Lunde and Emil V. Damm for their extensive work on data preparation, which made this case study possible. The authors would also like to thank the editor and the two anonymous reviewers for their constructive feedback, which has greatly improved the quality of this paper.
Author information
Authors and Affiliations
Contributions
T.R.H.: Writing – review & editing, Writing – original draft, Visualization, Validation, Software, Methodology, Investigation, Data curation, Conceptualization. J.K.: Writing –review & editing, Writing – original draft, Supervision, Project administration, Methodology, Funding acquisition, Conceptualization. L.M.: Writing – review & editing, Writing – original draft, Supervision, Methodology, Funding acquisition, Conceptualization. B.Z.: Writing – review & editing, Writing – original draft, Supervision, Methodology, Funding acquisition, Conceptualization.
Corresponding author
Ethics declarations
Conflict of interest
The authors declare no competing interests.
Additional information
Publisher's Note
Springer Nature remains neutral with regard to jurisdictional claims in published maps and institutional affiliations.
Appendices
Appendix A Flexibility estimation
Our case study utilizes real-world data containing charging profiles from 1400 residential EV charging boxes (CB) in Denmark. The measurements are recorded from March 24, 2022, to March 21, 2023, with an average time-step of 2.84 minutes, which has been interpolated to obtain a one-minute resolution. It is assumed that only one EV is coupled with each CB. The historical EV consumption level serves as the baseline for the estimation of each flexibility.
The acquired data lacks user-specific information, such as the real battery capacity of the EV, the state of charge (SoC), and the maximum power rate of the CB, for which assumptions have been made to calculate them. To estimate flexibility, the data has been manipulated to include the following:
-
t: index for time in minutes,
-
v: index for EVs,
-
s: index for charging sessions,
-
\(k_{v,t}\): a binary parameter indicating whether the EV v is connected to the CB at minute t,
-
\(P_{v,t}\): instantaneous power output of the CB to the EV at minute t [kW],
-
\(L_v\): battery capacity of the EV [kWh],
-
\(P_v^{\max }\): maximum power rate of the CB [kW],
-
Current SoC [%], where it is assumed that the EVs battery is full (100%) when disconnecting from the CB.
We assume that the maximum battery capacity for every EV \(v\in V\) is the largest energy output exerted by the CB over all charging sessions \(s\in S_v\), where \(S_v\) denotes the set of sessions for EV v. That is, \(L_v^{\max }=\max \{\sum _{t} P_{v,t,s}\}\), \(t\in [t_{s,0}, t_s^{\max }]\), \(t_{s,0}\) and \(t_s^{\max }\) being the start and end time of charging session s. The SoC at each minute t is given by \(L_{v,t}=L_v^{\max } - (L_{v,s}-\sum _{i=1}^t P_{i,v})\), where \(L_{v,s}\) is the total energy applied to the vehicle in the current charging session. By this statement, it is assumed that the SoC at the end of all charging sessions is 100%.
The energy that can be applied to the vehicle without exceeding the battery’s capacity is formulated as:
measured in kWh, where the product over \(k_{v,t}\) ensures that the measure is only calculated if the vehicle is continuously connected to the CB in the next 20 minutes To comply with the LER requirement, the constraint is restated:
where the unit of \(3r^\mathrm{{E}}_{v,t}\) is in kW, signifying how much power the CB could theoretically output during the following 20 minutes. There is, however, a physical limit on the power output of the CB, and therefore the constraint is further restricted:
that is, \(r^\mathrm{{E_{20}}}_{v,t}=\min \{P^{\max }_{v,t}, 3r^\mathrm{{E}}_{v,t}\}\). In the case where the EV is not connected to the charger 20 minutes ahead, it will not have any energy flexibility unless it is considered in a portfolio where another CB can provide the flexibility.
The upwards flexibility, \(r^\uparrow\), denotes how much the power applied to the EV can be reduced, and is simply defined as the power applied to the EV v at the current time t given that it is connected to a CB:
On the other hand, the downwards flexibility, \(r^\downarrow\), denotes how much the power applied to the EV by the CB can be increased, and is the maximum power rate the CB can provide, \(P^{\max }_{v}=\max \{P_{v,t}\},t\in T_v\) (all measured time for vehicle), minus the current power rate applied to the connected EV:
Aggregation across vehicles for all flexibilities is simply calculated as the sum over all vehicles’ flexibility at each minute t:
where \(r^\mathrm{{(\cdot )}}\in \{r^\uparrow , r^\downarrow , r^\mathrm{{E_{20}}}\}\). As the reserve bid has to be uniform across each hour h, the flexibility is bounded as the minimum available flexibility within the hour:
\(t_0\) and \(t_{60}\) being the start and end minute of hour h, respectively. Taking the minimum flexibility across the hour in this manner results in a loss of temporal dependencies in the data, which may lead to simplifications in the following analyses. The resulting data contains a year’s worth of flexibility for each hour of the day. Illustrative examples of how the flexibilities are calculated are found in Fig. 1. In Fig. 2 scatter plots of the (minimum) flexibilities for an arbitrary hour over the whole year are shown, where the horizontal line indicates the 10th percentile, which serves as the threshold under which we are selecting data to use for our analysis in the analytical formulation of the bidding strategy.
Appendix B KS test results for distribution fitting validation
Table 1 provides the mean and standard deviation of the KS test results over 10 runs.
Rights and permissions
Springer Nature or its licensor (e.g. a society or other partner) holds exclusive rights to this article under a publishing agreement with the author(s) or other rightsholder(s); author self-archiving of the accepted manuscript version of this article is solely governed by the terms of such publishing agreement and applicable law.
About this article
Cite this article
Herstad, T.R., Kazempour, J., Mitridati, L. et al. Bidding in ancillary service markets: an analytical approach using extreme value theory. Comput Manag Sci 23, 3 (2026). https://doi.org/10.1007/s10287-025-00549-y
Received:
Accepted:
Published:
Version of record:
DOI: https://doi.org/10.1007/s10287-025-00549-y